Gazeta Si- Udhëzimi për bërjen të detyrueshme të ndjekjes së leksioneve në universitetet publike, nga Ministria e Arsimit, nuk është pritur aspak mirë nga drejtuesit e fakulteteve. Ndonëse nuk kanë reaguar publikisht, për Gazetasi.al, disa prej tyre thonë se vendimi ka dashur të nxisë konfliktin mes studentëve dhe universiteteve. Po ashtu, ky vendim nuk është gjë tjetër vecse një ndërhyrje e radhës në autonominë e universiteteve.
“Ne kemi ndryshuar rregulloren jo më larg se më 28 korrik të këtij viti dhe do të zbatojmë këtë rregullore të miratuar në Senatin e Universitetit të Tiranës. Në rregullore ndjekja e leksioneve, si rregull është fakultative. Sipas saj, në përputhje me veçoritë përkatëse, çdo njësi kryesore në rregulloren e brendshme, mund të përcaktojë veprimtari mësimore, ndjekja e të cilave mund të jetë e detyruar deri në masën 75%. Ndjekja e seminareve është e detyruar në masën 75%. Kur studenti ka ndjekur 50-75% nuk lejohet të futet në provimin e radhës, por kalon në sezonin e rregullt pasardhës. Kur studenti ka ndjekur më pak se 50%, ai ndjek sërish atë lëndë në vitin pasardhës”, thotë për Gazetasi.al dekani i fakultetit Ekonomik në UT, Dhori Kule.


Edhe në fakultetin e Histori-Filologjisë në UT, të thonë të njëjtën gjë. Në kushtet e një proteste që pritet të vijojë edhe gjatë kësaj jave që po vjen, pedagogët thonë se vendimi i ministrisë në fundjavë ishte i nxituar, madje një përpjekje për të kundërvënë studentët kundër pedagogëve.
“E shoh si një përpjekje për të zhvendosur vëmendjen nga protesta tek studentët. Nuk mund të na ndërhyjë ministria në hartimin e rregullores. Ne e kemi një të tillë prej 2018 dhe këtë vit ndryshuam disa nene të saj”, thotë një prej shefave të departamenteve në fakultetin e Histori-Filologjisë.
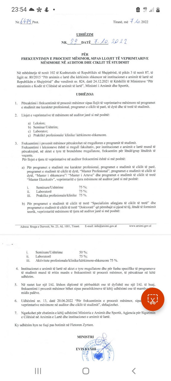
Nisur nga kjo situatë, ku duket se presioni i universiteteve publike ndaj MAS këto ditë ka qenë jo pak i vogël, ministria e Arsimit ka firmosur në datën 7 tetor një tjetër udhëzim ku thotë shprehimisht se ndjekja e leksioneve është fakultative, pra janë fakultetet ato që përcaktojnë sipas akteve të brendshme rregullatore për frekuentim të lëndëve/grup lëndësh të veçanta.
Copyright © Gazeta “Si”
Të gjitha të drejtat e këtij materiali janë pronë ekskluzive dhe e patjetërsueshme e Gazetës “Si”, sipas Ligjit Nr.35/2016 “Për të drejtat e autorit dhe të drejtat e tjera të lidhura me to”. Ndalohet kategorikisht kopjimi, publikimi, shpërndarja, tjetërsimi etj, pa autorizimin e Gazetës “Si”, në të kundërt çdo shkelës do mbajë përgjegjësi sipas nenit 179 të Ligjit 35/2016.
.png)




Lini një Përgjigje